⚗️ Empirical Formula from Combustion Data – Chemistry JEE | Doubtify JEE

🧪 Question:

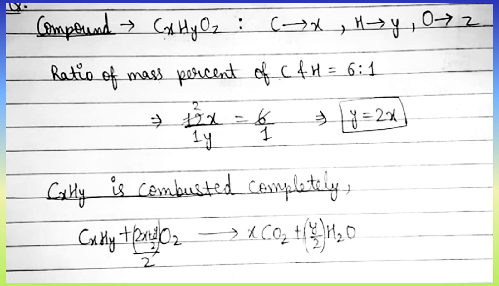
The ratio of mass percent of C and H of an organic compound (CxHyOz) is 6:1. If one molecule of the above compound contains half as much oxygen as required to burn one molecule of compound CxHy completely to CO₂ and H₂O, then what is the empirical formula of the compound?

The ratio of mass percent of C and H of an organic compound (CxHyOz) is 6:1. If one molecule of the above compound (CxHyOz) contains half as much oxygen as required to burn one molecule of compound CxHy completely to CO₂ and H₂O. The empirical formula of compound CxHyOz is?


📌 Why This Question is Important:

This question combines two highly testable concepts in JEE Chemistry – combustion analysis and empirical formula derivation. You’re not only working with mass percent ratio, but also applying oxygen balancing logic in a combustion reaction. Such questions are frequently seen in organic chemistry chapters, particularly under Basic Principles of Organic Chemistry and Stoichiometry.

Mastering this helps you crack more complex analysis-based questions in JEE Mains and even Advanced.


💡 Concept Used:

To find the empirical formula, we first convert the mass percent ratio of C and H into moles, assuming 100 g of substance. Then we apply a stoichiometric approach to determine the amount of oxygen atoms needed for complete combustion and use the condition given:

Oxygen atoms in compound = ½ × Oxygen required for combustion

This balances the internal oxygen with the external demand of combustion, helping us derive the correct formula.


✅ Step-by-Step Solution:

  1. Mass percent ratio is given as C : H = 6 : 1
    → In 100g compound:

    • Carbon = 85.7 g

    • Hydrogen = 14.3 g

  2. Convert to moles:

    • Moles of C = 85.7 / 12 ≈ 7.14

    • Moles of H = 14.3 / 1 = 14.3

  3. Assume empirical formula is CₓHᵧO𝓏, now consider CxHy burning completely:

    • Combustion of C and H requires:
      C → CO₂ ⇒ 1 mol needs 1 mol O₂
      H → H₂O ⇒ 1 mol H needs 0.5 mol O₂

    • Total O needed = x + y/4

  4. But compound contains half this amount internally:
    → z = ½(x + y/4)

  5. Now, try fitting x = 4, y = 8
    → z = ½(4 + 8/4) = ½(4 + 2) = 3

✅ So, empirical formula is C₄H₈O₃


🧠 Solution (Image):

The ratio of mass percent of C and H of an organic compound (CxHyOz) is 6:1. If one molecule of the above compound (CxHyOz) contains half as much oxygen as required to burn one molecule of compound CxHy completely to CO₂ and H₂O. The empirical formula of compound CxHyOz is?

The ratio of mass percent of C and H of an organic compound (CxHyOz) is 6:1. If one molecule of the above compound (CxHyOz) contains half as much oxygen as required to burn one molecule of compound CxHy completely to CO₂ and H₂O. The empirical formula of compound CxHyOz is?


🎥 Video Solution:


📩 Doubts or Suggestions?

📬 Mail: doubtifyqueries@gmail.com
📸 Instagram: @doubtifyjee


🎯 Consistency beats talent.
Pause the video – Solve the question – Check your logic – Repeat.
Let’s crack JEE together! 🚀


Comments

Popular posts from this blog

Ideal Gas Equation Explained: PV = nRT, Units, Forms, and JEE Tips [2025 Guide]

Balanced Redox Reaction: Mg + HNO₃ → Mg(NO₃)₂ + N₂O + H₂O | JEE Chemistry

Centroid of Circular Disc with Hole | System of Particles | JEE Physics | Doubtify JEE