Resultant of 2P and Q with Q | Find Angle θ | JEE PYQ Doubt Solved | Vector Concepts

 

🧲 The Sum of Two Forces P and Q is R | Angle Between 2P and Q | JEE Physics Doubt Solved

📌 Question:

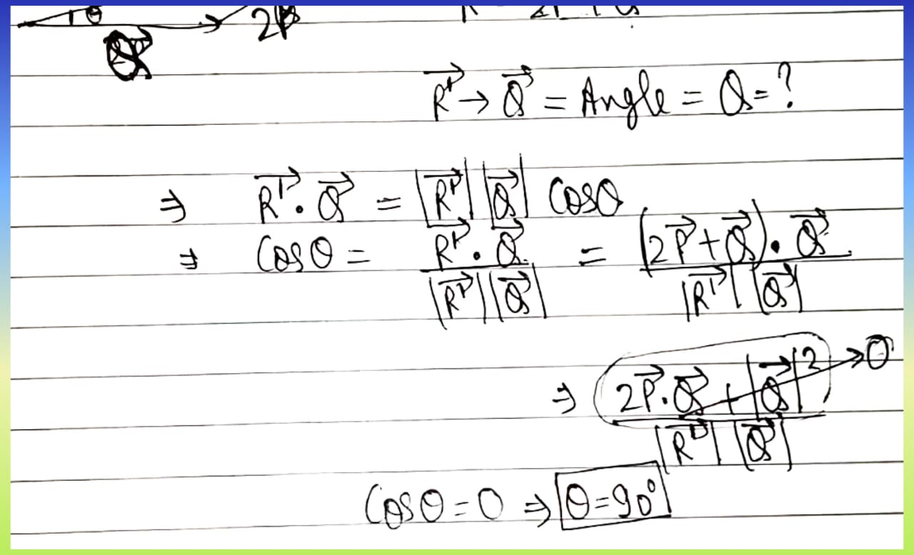
The sum of two forces P and Q is R, such that |R| = |P|. What will be the angle θ (in degrees) that the resultant of 2P and Q makes with Q?

The sum of two forces P and Q is R, such that |R| = |P|. What will be the angle θ (in degrees) that the resultant of 2P and Q makes with Q?

🎯 Concept Tested:

This problem is a vector-based question from laws of motion and vector addition, where you're given a condition on the magnitude of the resultant and are asked to find the angle of the resultant vector of a modified system.


🧠 Key Formula to Remember:

  • When vectors are added:

    R=P+Q\vec{R} = \vec{P} + \vec{Q}
  • If R=P|\vec{R}| = |\vec{P}|, it leads to a specific geometrical configuration.

  • The new resultant is:

    R=2P+Q\vec{R'} = 2\vec{P} + \vec{Q}
  • Use vector triangle rules or dot product to determine the angle between R\vec{R'}and Q\vec{Q}.


🔍 Why This Question is Important for JEE:

  • Combines vector addition concepts with geometrical visualization

  • A clever twist on resultant and direction problems

  • Frequently found in JEE Main and Advanced to test depth of conceptual clarity



📷 Solution Image:



📹 Watch Full Video Solution:

On our YouTube channel, we break down this vector trick using simple geometry and physics – watch now to understand the intuition behind it.
👉  Watch, Pause, Solve, Repeat!


💬 Got a Doubt?

📩 Drop us a message: doubtifyqueries@gmail.com
📱 Or DM us on Instagram @doubtifyjee

Comments

Popular posts from this blog

Ideal Gas Equation Explained: PV = nRT, Units, Forms, and JEE Tips [2025 Guide]

Balanced Redox Reaction: Mg + HNO₃ → Mg(NO₃)₂ + N₂O + H₂O | JEE Chemistry

Centroid of Circular Disc with Hole | System of Particles | JEE Physics | Doubtify JEE